
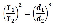
Diesen Zusammenhang zwischen den Umlaufzeiten T und den Halbachsen d von Planeten entdeckte Johannes Kepler heute vor 400 Jahren (am 15.5.1618). Zu dieser Zeit lebte er in Linz und bewohnte, wie vor wenigen Tagen durch umfangreiche Recherchen von Erich Meyer bekannt wurde, das Haus Hofgasse 7.
Der Nachweis, dass dies die einzig verbleibende mögliche Adresse von einer handvoll Kandidaten war gelang schließlich durch Hinweise Keplers zu von ihm beobachteten Mondesfinsternissen. Erich Meyer fertigte von allen Adressen Fotos des aus der Wohnung beobachtbaren Horizonts an und verglich diese mit den Beschreibungen Keplers.
Siehe dazu auch das heutige APOD (Astronomy Picture Of the Day) der NASA.
